Каталог
Каталог

Клапан балансировочный ручной ВВ 747OT с фиксацией настройки 2 измерительных ниппеля CIMBERIO 1" CIM 747OT N 1'

  • Производитель Cimberio
7 976.40 ₽
Количество
шт

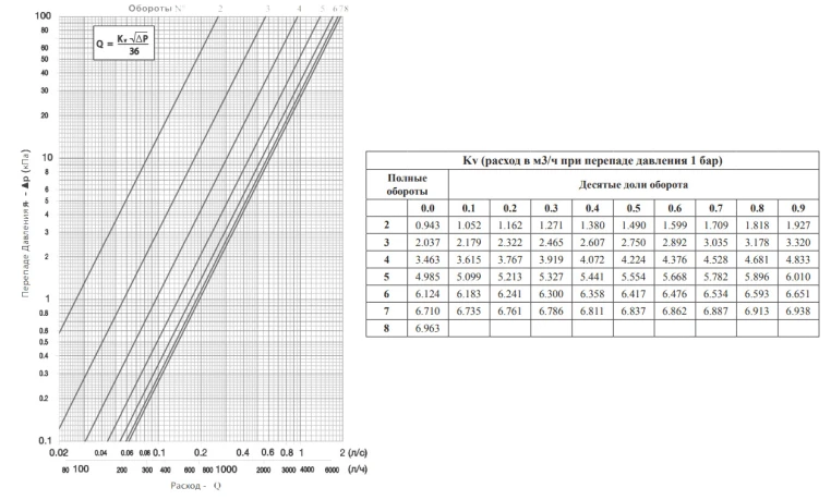
Клапан балансировочный ручной BB CIM 747OT с фиксацией настройки 2 измерительных ниппеля Cimberio 1" предназначен для гидравлической балансировки систем отопления, охлаждения и внутреннего водоснабжения. Выпускается с внутренней латунной резьбой. Ручной клапан обеспечивает высокую точность регулировки во всем диапазоне настроек – точность измерения для клапанов с постоянной диафрагмой 5%. Устройство может применятся в системах отопления и охлаждения с рабочим давлением до 25 бар и температурой теплоносителя в пределах от -10 оС до +120 оС. Клапан имеет измерительную диафрагму фиксированного размера и рукоятку с функцией перекрытия.


Особенности и преимущества ручного балансировочного клапана CIM 747OT:

  • Измерительная диафрагма фиксированного размера
  • Клапан поставляется с двумя измерительными ниппелями
  • Рукоятка с функцией перекрытия; индикаторная шкала настроек клапана, читаемая под любым углом
  • Функцией защиты настройки
  • Точность измерения для клапанов с постоянной диафрагмой 5%.


ТЕХНИЧЕСКИЕ ХАРАКТЕРИСТИКИ

  • Страна : Италия
  • Производитель : Cimberio
  • Серия : CIM 747OT
  • Категория : регулирующая арматура – балансировочные клапаны
  • Тип : балансировочный ручной клапан
  • Область применения : системы отопления, охлаждения, водоснабжения
  • Присоединительный размер: DN 25 (1")
  • Резьба: цилиндрическая внутренняя BB, «мама» – «мама»
  • Материал резьбы: латунь
  • Настраиваемый расход: 0,943-6,963 куб.м/ч
  • Kvs: 7,5 куб.м/ч
  • Максимальное рабочее давление: 25 бар
  • Максимальная температура: +120 оС
  • Минимальная температура: -10 оС
  • Рабочая среда: воды и гликоль
  • Материал корпуса: стандартная латунь OT
  • Материал уплотнительных колец: EPDM Perox
  • Бренд товара 150087
  • Производитель Cimberio
  • Картинки галереи 329854 / 329855 / 329856 / 329857 / 329858 / 329859 / 329860 / 329861 / 329862
  • ID поста блога для комментариев 10470
Клапан балансировочный ручной ВВ 747OT с фиксацией настройки 2 измерительных ниппеля CIMBERIO 1" CIM 747OT N 1'
7 976.40 ₽