Каталог
Каталог

Клапан балансировочный ручной ВВ 747OT с фиксацией настройки 2 измерительных ниппеля CIMBERIO 2" (CIM 747OT N 2')

  • Артикул CIM 747OT N 2
  • Производитель Cimberio
22 114.80 ₽
Количество
шт

Клапан балансировочный ручной BB CIM 747OT с фиксацией настройки 2 измерительных ниппеля Cimberio 2" предназначен для гидравлической балансировки систем отопления, охлаждения и внутреннего водоснабжения. Выпускается с внутренней латунной резьбой. Ручной клапан обеспечивает высокую точность регулировки во всем диапазоне настроек – точность измерения для клапанов с постоянной диафрагмой 5%. Устройство может применятся в системах отопления и охлаждения с рабочим давлением до 25 бар и температурой теплоносителя в пределах от -10 оС до +120 оС. Клапан имеет измерительную диафрагму фиксированного размера и рукоятку с функцией перекрытия


Особенности и преимущества ручного балансировочного клапана CIM 747OT:

  • Измерительная диафрагма фиксированного размера
  • Клапан поставляется с двумя измерительными ниппелями
  • Рукоятка с функцией перекрытия; индикаторная шкала настроек клапана, читаемая под любым углом
  • Функцией защиты настройки
  • Точность измерения для клапанов с постоянной диафрагмой 5%.


ТЕХНИЧЕСКИЕ ХАРАКТЕРИСТИКИ

  • Производитель: Cimberio
  • Артикул: CIM 747OT N 2'
  • Серия: CIM 747OT
  • Модель: CIM 747OT N 2'
  • Страна: Италия
  • Тип присоединения: резьба
  • Вид соединения: ВВ
  • Тип: клапан балансировочный
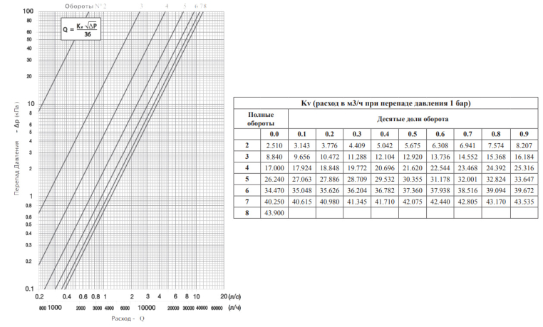
  • Kvs, м3/час: 47.4
  • Диапазон балансировки по расходу, м3/час: 2,51-43,90
  • MAX рабочее давление, бар: 25
  • MAX рабочая температура, °C: 120
  • MIN рабочая температура, ˚С: -10
  • Особенности: защита настройки от постороннего вмешательства с запоминанием отрегулированной позиции при помощи шестигранного ключа; диафрагменная система измерения расхода обеспечивает высокую точность измерения в пределах ±5% во всем диапазоне установок клапана; индикаторная шкала установок клапана, читаемая под любым углом; резьбовой стопорный механизм для точной фиксации установок клапана
  • Применение: применяется в системах отопления, кондиционирования, горячего и холодного водоснабжения, а также для некоррозионных жидкостей
  • Материалы: золотник клапана с прокладкой — EPDM
  • Материал: латунь
  • Категория: регулирующая арматура – балансировочные клапаны
  • Тип: балансировочный ручной клапан
  • Область применения: системы отопления, охлаждения, водоснабжения
  • Присоединительный размер: DN 50 (2")
  • Резьба: цилиндрическая внутренняя BB, «мама» – «мама»
  • Материал резьбы: латунь
  • Настраиваемый расход: 2,519-43,900 куб.м/ч
  • Kvs: 47,4 куб.м/ч
  • Максимальное рабочее давление: 25 бар
  • Максимальная температура: +120 оС
  • Минимальная температура: -10 оС
  • Рабочая среда: воды и гликоль
  • Материал корпуса: стандартная латунь OT
  • Материал уплотнительных колец: EPDM Perox
  • Бренд товара 150087
  • Артикул CIM 747OT N 2
  • Производитель Cimberio
  • Картинки галереи 329777 / 329778 / 329779 / 329780 / 329781 / 329782 / 329783
  • ID поста блога для комментариев 28734
Клапан балансировочный ручной ВВ 747OT с фиксацией настройки 2 измерительных ниппеля CIMBERIO 2" (CIM 747OT N 2')
22 114.80 ₽